
Hệ thống quản trị đào tạo trực tuyến
Từ mô hình của hệ thống hình 3.1. Phương pháp hàm truyền đạt chuyển quan hệ phương trình vi phân thành quan hệ phân thực đại số nhờ phép biến đổi Laplace
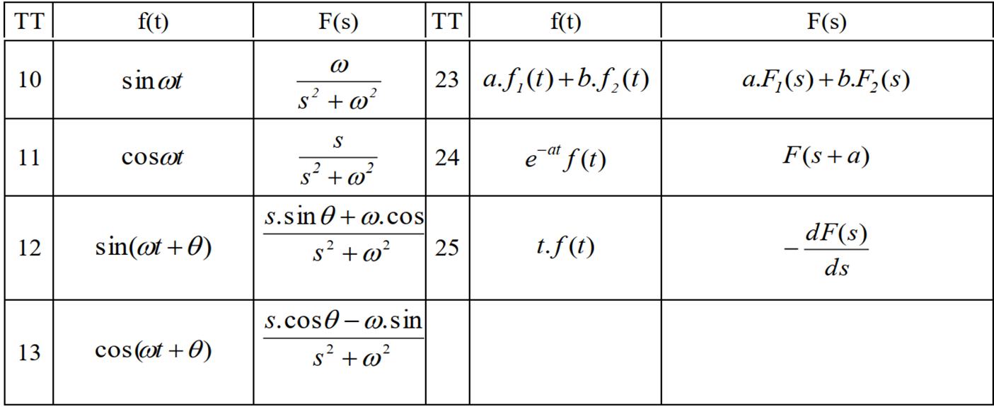
4.1.1 Phép điến đổi Laplace
a. Định nghĩa
Cho f(t) là hàm xác định với mọi t ≥0, biến đổi Laplace của f(t) là:
![]()
(4.7)







Ghi chú: Sử
dụng
bảng
phải
nhân
với
hàm
u(t), hay thỏa
mãn
điều
kiện
f(t) = 0 khi
t < 0
4.1.2. Hàm truyền
a. Phương trình toán học
Xét hệ thống tuyến tính bất biến liên tục, mô tả bởi phương trình vi phân:
(4.20)
Biến đổi Laplace 2 vế phương trình trên, để ý tính chất ảnh của đạo hàm, giả thiết điều kiện đầu bằng 0, ta được hàm truyền của hệ thống:
(4.21)
Suy ra:
(2.22)
Đặt:
(2.23)
Vậy: Hàm truyền của hệ thống là tỉ số giữa biến đổi Laplace của tín hiệu ra và biến đổi Laplace của tín hiệu vào khi điều kiện đầu bằng 0
b. Các bước tìm hàm truyền của hệ thống
Bước 1: Thành lập phương trình vi phân mô tả quan hệ vào – ra của phần tử bằng cách:
- Áp dụng các định luật Kirchoff, quan hệ dòng – áp trên điện trở, tụ điện, cuộn cảm,… đối với các phần tử điện.
- Áp dụng các định luật Newton, quan hệ giữa lực ma sát và vận tốc, quan hệ giữa lực và biến dạng của lò xo,… đối với các phần tử cơ khí.
- Áp dụng các định luật truyền nhiệt, định luật bảo toàn năng lượng,… đối với các phần tử nhiệt.
Bước 2: Biến đổi Laplace hai vế phương trình vi phân vừa thành lập ở bước 1, ta được hàm truyền cần tìm.
Chú ý: Đối với các mạch điện có thể tìm hàm truyền theo phương pháp tổng trở phức.